7.2. Consistency between the dataset underpinning the Copernicus Interactive Climate Atlas and its origins: Multiple indicators#
Please note that this repository is used for development and review, so quality assessments should be considered work in progress until they are merged into the main branch.
Production date: 2025-10-01.
Dataset version: 2.0.
Produced by: C3S2_521 contract.
🌍 Use case: Retrieving climate indicators from the Copernicus Interactive Climate Atlas#
❓ Quality assessment question#
Are the climate indicators in the dataset underpinning the Copernicus Interactive Climate Atlas consistent with their origin datasets?
Can the dataset underpinning the Copernicus Interactive Climate Atlas be reproduced from its origin datasets?
The Copernicus Interactive Climate Atlas, or Atlas for short, is a C3S web application providing an easy-to-access tool for exploring climate projections, reanalyses, and observational data [Guti24]. Version 2.0 of the application allows the user to interact with 12 datasets:
Type |
Dataset |
---|---|
Climate Projection |
CMIP6 |
Climate Projection |
CMIP5 |
Climate Projection |
CORDEX-CORE |
Climate Projection |
CORDEX-EUR-11 |
Reanalysis |
ERA5 |
Reanalysis |
ERA5-Land |
Reanalysis |
ORAS5 |
Reanalysis |
CERRA |
Observations |
E-OBS |
Observations |
BERKEARTH |
Observations |
CPC |
Observations |
SST-CCI |
These datasets are provided through an intermediary dataset, the Gridded dataset underpinning the Copernicus Interactive Climate Atlas or Atlas dataset for short [AtlasData]. Compared to their origins, the versions of the climate datasets within the Atlas dataset have been processed following the workflow in Figure 7.2.1.

Fig. 7.2.1 Schematic representation of the workflow for the production of the Atlas dataset from its origin datasets, from the User-tools for the C3S Atlas.#
Because a wide range of users interact with climate data through the Atlas application, it is crucial that the underpinning dataset represent its origins correctly. In other words, the Atlas dataset must be consistent with and reproducible from its origins. Here, we assess this consistency and reproducibility by comparing climate indicators retrieved from the Atlas dataset with their equivalents calculated from the origin dataset, mirroring the workflow from Figure 7.2.1. While a full analysis and reproduction of every record within the Atlas dataset is outside the scope of quality assessment (and would require high-performance computing infrastructure), a case study with a narrower scope probes these quality attributes of the dataset and can be a jumping-off point for further analysis by the reader.
This notebook is part of a series:
Notebook |
Contents |
---|---|
Comparison between Atlas dataset and one origin dataset (CMIP6) for one indicator ( |
|
Consistency between the dataset underpinning the Copernicus Interactive Climate Atlas and its origins: Multiple indicators |
Comparison between Atlas dataset and one origin dataset (CMIP6) for multiple indicators. |
Comparison between Atlas dataset and multiple origin datasets for one indicator. |
📢 Quality assessment statement#
These are the key outcomes of this assessment
Values of climate indicators (here 25 monthly indicators) provided by the Gridded dataset underpinning the Copernicus Interactive Climate Atlas are highly consistent with values calculated from its origin datasets (here the CMIP6 multi-model ensemble). The general distribution of indicator values is the same across time and space. However, small differences exist due to the difference in grid, as well as differences in coverage. In isolated cases (e.g. evapotranspiration in the Arctic circle), the Atlas dataset may differ more significantly from its origins. Users of the Atlas dataset – and thus users of the Atlas application – should be aware that values retrieved from Atlas may differ from a manual analysis of the origin dataset.
The Atlas dataset is highly reproducible from its origins, at least for the CMIP6 dataset. For most indicators, the values provided by the Atlas dataset are identical or very close to those resulting from a manual reprocessing. However, some indicators show larger differences either randomly (e.g. number of days with >1 mm precipitation) or in specific locations (as before). These differences should not affect most users of the Atlas dataset or application in most use cases. For further analysis, it is recommended to manually process the origin dataset.
📋 Methodology#
This quality assessment tests the consistency between climate indicators retrieved from the Gridded dataset underpinning the Copernicus Interactive Climate Atlas [AtlasData] and their equivalents calculated from the origin datasets, as well as the reproducibility of said dataset.
This notebook expands the analysis set out in the case study to investigate multiple indicators (listed below, descriptions from the User-tools for the C3S Atlas) derived from the CMIP6 multi-model ensemble [CMIP6data]:
Indicator |
Unit |
Full description |
---|---|---|
|
°C |
Monthly mean of daily mean near-surface (2-metre) air temperature |
|
°C |
Monthly mean of daily minimum near-surface (2-metre) air temperature |
|
°C |
Monthly mean of daily maximum near-surface (2-metre) air temperature |
|
°C |
Monthly mean of near-surface (2-metre) air temperature difference between the maximum and minimum daily temperature |
|
°C |
Monthly minimum of daily minimum near-surface (2-metre) air temperature |
|
°C |
Monthly maximum of daily maximum near-surface (2-metre) air temperature |
|
d |
Monthly count of days with maximum near-surface (2-metre) temperature above 35 °C |
|
d |
Monthly count of days with maximum near-surface (2-metre) temperature above 40 °C |
|
d |
Monthly count of tropical nights (days with minimum temperature above 20 °C) |
|
d |
Monthly count of days with minimum near-surface (2-metre) temperature below 0 °C |
|
mm |
Monthly mean of daily accumulated precipitation of liquid water equivalent from all phases |
|
mm |
Monthly average of daily precipitation amount of liquid water equivalent from all phases on days with precipitation amount above or equal to 1 mm |
|
mm |
Monthly mean of daily accumulated liquid water equivalent thickness snowfall |
|
mm |
Monthly maximum of 1-day accumulated precipitation of liquid water equivalent from all phases |
|
d |
Monthly count of days with daily accumulated precipitation of liquid water equivalent from all phases above 1 mm |
|
d |
Monthly count of days with daily accumulated precipitation of liquid water equivalent from all phases above 10 mm |
|
d |
Monthly count of days with daily accumulated precipitation of liquid water equivalent from all phases above 20 mm |
|
mm |
Monthly mean daily accumulated potential evapotranspiration (Hargreaves method, 1985), which is the rate at which evapotranspiration would occur under ambient conditions from a uniformly vegetated area when the water supply is not limiting |
|
mm |
Monthly mean of daily amount of water in the atmosphere due to conversion of both liquid and solid phases to vapor (from underlying surface and vegetation) |
|
g/kg |
Monthly amount of moisture in the air near the surface divided by amount of air plus moisture at that location |
|
hPa |
Monthly average air pressure at mean sea level |
|
m/s |
Monthly mean of daily mean near-surface (10-metre) wind speed |
|
% |
Monthly mean cloud cover area percentage |
|
W/m² |
Monthly mean incident solar (shortwave) radiation that reaches a horizontal plane at the surface |
|
W/m² |
Monthly mean incident thermal (longwave) radiation at the surface (during cloudless and overcast conditions) |
The analysis and results are organised in the following steps, which are detailed in the sections below:
Install User-tools for the C3S Atlas.
Import all required libraries.
Definition of helper functions.
2. Calculate indicators from the origin dataset
Download data from the origin dataset(s).
Homogenise data.
Calculate indicator(s).
Interpolate to a common and regular grid.
3. Retrieve indicators from the Atlas dataset
Download data from the Atlas dataset.
Consistency: Compare the Atlas and reproduced datasets on native grids.
Reproducibility: Compare the Atlas and reproduced datasets on the Atlas grid.
📈 Analysis and results#
1. Code setup#
Note
This notebook uses earthkit for downloading (earthkit-data) and visualising (earthkit-plots) data. Because earthkit is in active development, some functionality may change after this notebook is published. If any part of the code stops functioning, please raise an issue on our GitHub repository so it can be fixed.
Install the User-tools for the C3S Atlas#
This notebook uses the User-tools for the C3S Atlas, which can be installed from GitHub using pip
.
For convenience, the following cell can do this from within the notebook.
Further details and alternative options for installing this library are available in its documentation.
Import required libraries#
In this section, we import all the relevant packages needed for running the notebook.
Define indicators#
Helper functions#
General#
Downloading data#
Calculation of indicators#
Data (pre-)processing#
Statistics#
Visualisation#
2. Calculate indicators from the origin dataset#
Download data#
This notebook uses earthkit-data to download files from the CDS. If you intend to run this notebook multiple times, it is highly recommended that you enable caching to prevent having to download the same files multiple times.
The first step is to define the parameters that will be shared between the download of the origin dataset (here CMIP6) and the Atlas dataset (in the next section), namely the experiment and model member. Next, the request to download the corresponding data from CMIP6 is defined, in this notebook choosing several daily and monthly variables defined in the following cell. To simplify the data processing, daily and monthly variables are downloaded separately.
<xarray.Dataset> Size: 404MB Dimensions: (time: 365, lat: 192, lon: 288) Coordinates: * time (time) object 3kB 2080-01-01 12:00:00 ... 2080-12-31 12:00:00 * lat (lat) float64 2kB -90.0 -89.06 -88.12 -87.17 ... 88.12 89.06 90.0 * lon (lon) float64 2kB 0.0 1.25 2.5 3.75 5.0 ... 355.0 356.2 357.5 358.8 height float64 8B 2.0 Data variables: tas (time, lat, lon) float32 81MB dask.array<chunksize=(1, 192, 288), meta=np.ndarray> tasmin (time, lat, lon) float32 81MB dask.array<chunksize=(1, 192, 288), meta=np.ndarray> tasmax (time, lat, lon) float32 81MB dask.array<chunksize=(1, 192, 288), meta=np.ndarray> pr (time, lat, lon) float32 81MB dask.array<chunksize=(1, 192, 288), meta=np.ndarray> huss (time, lat, lon) float32 81MB dask.array<chunksize=(1, 192, 288), meta=np.ndarray> Attributes: (12/48) Conventions: CF-1.7 CMIP-6.2 activity_id: ScenarioMIP branch_method: standard branch_time_in_child: 60225.0 branch_time_in_parent: 60225.0 comment: none ... ... title: CMCC-ESM2 output prepared for CMIP6 variable_id: tas variant_label: r1i1p1f1 license: CMIP6 model data produced by CMCC is licensed und... cmor_version: 3.6.0 tracking_id: hdl:21.14100/25c823a7-e043-463c-a6b7-4a6f067f78a4
<xarray.Dataset> Size: 19MB Dimensions: (time: 12, lat: 192, lon: 288) Coordinates: * time (time) object 96B 2080-01-16 12:00:00 ... 2080-12-16 12:00:00 * lat (lat) float64 2kB -90.0 -89.06 -88.12 -87.17 ... 88.12 89.06 90.0 * lon (lon) float64 2kB 0.0 1.25 2.5 3.75 5.0 ... 355.0 356.2 357.5 358.8 height float64 8B ... Data variables: evspsbl (time, lat, lon) float32 3MB dask.array<chunksize=(1, 192, 288), meta=np.ndarray> prsn (time, lat, lon) float32 3MB dask.array<chunksize=(1, 192, 288), meta=np.ndarray> sfcWind (time, lat, lon) float32 3MB dask.array<chunksize=(1, 192, 288), meta=np.ndarray> clt (time, lat, lon) float32 3MB dask.array<chunksize=(1, 192, 288), meta=np.ndarray> rsds (time, lat, lon) float32 3MB dask.array<chunksize=(1, 192, 288), meta=np.ndarray> rlds (time, lat, lon) float32 3MB dask.array<chunksize=(1, 192, 288), meta=np.ndarray> psl (time, lat, lon) float32 3MB dask.array<chunksize=(1, 192, 288), meta=np.ndarray> Attributes: (12/48) Conventions: CF-1.7 CMIP-6.2 activity_id: ScenarioMIP branch_method: standard branch_time_in_child: 60225.0 branch_time_in_parent: 60225.0 comment: none ... ... title: CMCC-ESM2 output prepared for CMIP6 variable_id: evspsbl variant_label: r1i1p1f1 license: CMIP6 model data produced by CMCC is licensed und... cmor_version: 3.6.0 tracking_id: hdl:21.14100/11eb4243-d050-40aa-bc3a-34b8c1195cb6
Homogenise data#
One of the steps in the Atlas dataset production chain is homogenisation, i.e. ensuring consistency between data from different origin datasets.
This homogenisation is implemented in the User-tools for the C3S Atlas, specifically the c3s_atlas.fixers.apply_fixers
function.
The following changes are applied:
The names of the spatial coordinates are standardised to
[lon, lat]
.Longitude is converted from
[0...360]
to[-180...180]
format.The time coordinate is standardised to the CF standard calendar.
Variable units are standardised (e.g. °C for temperature).
Variables are resampled / aggregated to the required temporal resolution.
The homogenisation is applied in the following code cells, separately for the daily and monthly data.
More details can be found in the case study for tx35
.
Calculate indicators#
The climate indicators are calculated using xclim. The functions defined above perform the calculations.
<xarray.Dataset> Size: 90MB Dimensions: (lat: 192, lon: 288, time: 12) Coordinates: * lat (lat) float64 2kB -90.0 -89.06 -88.12 -87.17 ... 88.12 89.06 90.0 * lon (lon) float64 2kB -178.8 -177.5 -176.2 -175.0 ... 177.5 178.8 180.0 height float64 8B 2.0 * time (time) datetime64[ns] 96B 2080-01-01 2080-02-01 ... 2080-12-01 Data variables: (12/25) t (time, lat, lon) float32 3MB dask.array<chunksize=(1, 192, 288), meta=np.ndarray> tn (time, lat, lon) float32 3MB dask.array<chunksize=(1, 192, 288), meta=np.ndarray> tx (time, lat, lon) float32 3MB dask.array<chunksize=(1, 192, 288), meta=np.ndarray> dtr (time, lat, lon) float32 3MB dask.array<chunksize=(1, 192, 288), meta=np.ndarray> tnn (time, lat, lon) float32 3MB dask.array<chunksize=(1, 192, 288), meta=np.ndarray> txx (time, lat, lon) float32 3MB dask.array<chunksize=(1, 192, 288), meta=np.ndarray> ... ... evspsbl (time, lat, lon) float32 3MB dask.array<chunksize=(1, 192, 288), meta=np.ndarray> psl (time, lat, lon) float32 3MB dask.array<chunksize=(1, 192, 288), meta=np.ndarray> sfcwind (time, lat, lon) float32 3MB dask.array<chunksize=(1, 192, 288), meta=np.ndarray> clt (time, lat, lon) float32 3MB dask.array<chunksize=(1, 192, 288), meta=np.ndarray> rsds (time, lat, lon) float32 3MB dask.array<chunksize=(1, 192, 288), meta=np.ndarray> rlds (time, lat, lon) float32 3MB dask.array<chunksize=(1, 192, 288), meta=np.ndarray>
Interpolate to a common and regular grid#
Note
This notebook uses xESMF for regridding data. xESMF is most easily installed using mamba/conda as explained in its documentation. Users who cannot or do not wish to use mamba/conda can manually compile and install ESMF on their machines. In future, this notebook will use earthkit-regrid instead, once it reaches suitable maturity.
The final step in the processing is regridding and interpolation to a standard grid (Figure 7.1.1).
This is performed through a custom function in the User-tools for the C3S Atlas,
specifically c3s_atlas.interpolation
.
This function is based on ESMF, as noted above.
Note that the Atlas workflow calculates indicators first, then regrids. For operations that involve averaging, like smoothing and regridding, the order of operations can affect the result, especially in areas with steep gradients [Bur20]. Examples of such areas for a temperature index are coastlines and mountain ranges. In the case of Atlas, this order of operations was a conscious choice to preserve the “raw” signals, e.g. preventing extreme temperatures from being smoothed out. However, it can affect the indicator values and therefore must be considered when using the Atlas application or dataset.
Due to the number of variables involved, this section can take several minutes to run.
<xarray.Dataset> Size: 106MB Dimensions: (lon: 360, lat: 180, time: 12, bnds: 2) Coordinates: * lon (lon) float64 3kB -179.5 -178.5 -177.5 ... 177.5 178.5 179.5 * lat (lat) float64 1kB -89.5 -88.5 -87.5 -86.5 ... 86.5 87.5 88.5 89.5 * time (time) datetime64[ns] 96B 2080-01-01 2080-02-01 ... 2080-12-01 Dimensions without coordinates: bnds Data variables: (12/29) t (time, lat, lon) float32 3MB dask.array<chunksize=(1, 180, 360), meta=np.ndarray> lon_bnds (lon, bnds) float64 6kB -180.0 -179.0 -179.0 ... 179.0 179.0 180.0 lat_bnds (lat, bnds) float64 3kB -90.0 -89.0 -89.0 -88.0 ... 89.0 89.0 90.0 crs int64 8B 0 height float64 8B 2.0 tn (time, lat, lon) float32 3MB dask.array<chunksize=(1, 180, 360), meta=np.ndarray> ... ... evspsbl (time, lat, lon) float32 3MB dask.array<chunksize=(1, 180, 360), meta=np.ndarray> psl (time, lat, lon) float32 3MB dask.array<chunksize=(1, 180, 360), meta=np.ndarray> sfcwind (time, lat, lon) float32 3MB dask.array<chunksize=(1, 180, 360), meta=np.ndarray> clt (time, lat, lon) float32 3MB dask.array<chunksize=(1, 180, 360), meta=np.ndarray> rsds (time, lat, lon) float32 3MB dask.array<chunksize=(1, 180, 360), meta=np.ndarray> rlds (time, lat, lon) float32 3MB dask.array<chunksize=(1, 180, 360), meta=np.ndarray>
3. Retrieve indicators from the Atlas dataset#
Here, we download the same indicators as above directly from the Gridded dataset underpinning the Copernicus Interactive Climate Atlas so the values can be compared.
When downloading the Atlas dataset from the CDS, it is not possible to specify a specific year or model like it is for e.g. CMIP6. Instead, data are downloaded in blocks of several decades and include all model members. To prevent memory issues from loading so many data at once, a custom function is used that downloads the data for each indicator and pulls out only the year and model member of interest. Because this is done in sequence (one indicator after another) rather than in parallel (all at the same time, like a normal earthkit-data download), this can result in the following cells taking relatively long (>1 hour) to run the first time. After the first time, caching in earthkit-data will (if enabled) speed this section up significantly.
<xarray.Dataset> Size: 78MB Dimensions: (time: 12, lat: 180, lon: 360) Coordinates: (12/16) * lat (lat) float64 1kB -89.5 -88.5 -87.5 ... 87.5 88.5 89.5 * lon (lon) float64 3kB -179.5 -178.5 -177.5 ... 178.5 179.5 * time (time) datetime64[ns] 96B 2080-01-01 ... 2080-12-01 member_id <U23 92B ... gcm_institution <U4 16B ... gcm_model <U9 36B ... ... ... threshold20c float64 8B ... threshold0c float64 8B ... threshold1mm float64 8B 1.0 threshold10mm float64 8B ... threshold20mm float64 8B ... height10m float64 8B ... Data variables: (12/26) t (time, lat, lon) float32 3MB dask.array<chunksize=(12, 26, 52), meta=np.ndarray> crs int32 4B -2147483647 tn (time, lat, lon) float32 3MB dask.array<chunksize=(12, 26, 52), meta=np.ndarray> tx (time, lat, lon) float32 3MB dask.array<chunksize=(12, 26, 52), meta=np.ndarray> dtr (time, lat, lon) float32 3MB dask.array<chunksize=(12, 26, 52), meta=np.ndarray> tnn (time, lat, lon) float32 3MB dask.array<chunksize=(12, 26, 52), meta=np.ndarray> ... ... huss (time, lat, lon) float32 3MB dask.array<chunksize=(12, 26, 52), meta=np.ndarray> psl (time, lat, lon) float32 3MB dask.array<chunksize=(12, 23, 52), meta=np.ndarray> sfcwind (time, lat, lon) float32 3MB dask.array<chunksize=(12, 26, 52), meta=np.ndarray> clt (time, lat, lon) float32 3MB dask.array<chunksize=(12, 26, 52), meta=np.ndarray> rsds (time, lat, lon) float32 3MB dask.array<chunksize=(12, 23, 45), meta=np.ndarray> rlds (time, lat, lon) float32 3MB dask.array<chunksize=(12, 26, 52), meta=np.ndarray> Attributes: (12/26) Conventions: CF-1.9 ACDD-1.3 title: Copernicus Interactive Climate Atlas: gridded... summary: Monthly/annual gridded data from observations... institution: Copernicus Climate Change Service (C3S) producers: Institute of Physics of Cantabria (IFCA, CSIC... license: CC-BY 4.0, https://creativecommons.org/licens... ... ... geospatial_lon_min: -180.0 geospatial_lon_max: 180.0 geospatial_lon_resolution: 1.0 geospatial_lon_units: degrees_east date_created: 2024-12-05 15:51:48.916442+01:00 tracking_id: 89974d82-56b6-4b47-958e-5954716013d3
4. Results#
This section contains the comparison between the indicator values retrieved from the Atlas dataset vs those reproduced from the origin dataset.
The datasets are first compared on their native grids. This means a point-by-point comparison is not possible (because the points are not equivalent), but the distributions can be compared geospatially and overall. This comparison probes the consistency quality attribute: Are the climate indicators in the dataset underpinning the Copernicus Interactive Climate Atlas consistent with their origin datasets?
The second comparison uses the regridded version of the indicators derived from the origin dataset. This makes a point-by-point comparison possible. This second comparison probes how well the dataset underpinning the Copernicus Interactive Climate Atlas can be reproduced from its origin datasets, based on the workflow (Figure 7.2.1).
Consistency: Comparison on native grids#
For the geospatial comparison, we display the values of the indicators for one month, across one region and globally. In the first example, we display the results across Europe in June, which should provide significant spatial variation.
This region can easily be modified in the following code cell using the domains provided by earthkit-plots.
Some examples are provided in the cell (commented out using #
).
As in the case study for tx35
,
it is clear from the geospatial comparison
(Figure 7.2.2)
that the Atlas dataset closely resembles a manual reproduction of its origin datasets.
The general distribution of indicator values is the same for
all indicators.
In a few cases,
such as
sdii
(northern Africa, north of the Caspian Sea)
and
pet
(northern Africa, all seas),
the two datasets differ in terms of coverage.
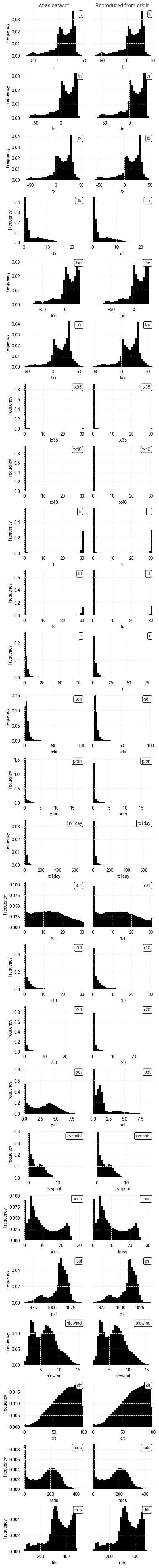
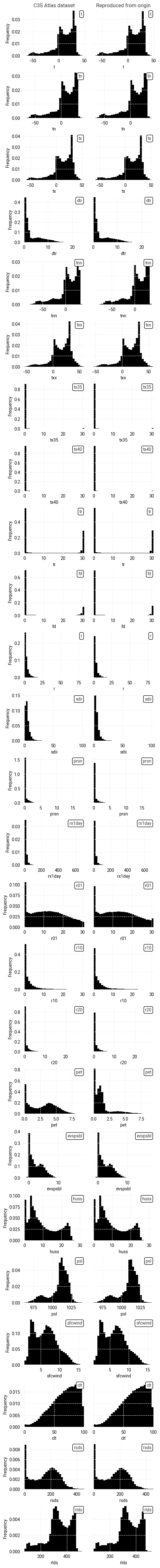
This pattern is also visible in the overall distributions
(Figure 7.2.3),
which are again very similar for almost all indicators.
The distributions only differ clearly for
sdii
and
pet
,
which is explained by the fact that one dataset has data in areas where the other has gaps or masks.
Only for pet
in
northern Fennoscandia,
within the Arctic circle,
is there a clear significant difference between values in the two datasets.
In this case,
the pattern observed in the reproduced dataset seems to fit in with its surroundings better than
the sudden drop to 0
seen in the Atlas dataset.
The source of this discrepancy is unclear
but may have been a conscious decision.
In any case,
this difference only affects users planning to use Atlas for agricultural studies within the Arctic circle.
The overall conclusion from this comparison is the same as in the case study for tx35
.
The Atlas dataset and its origins are highly consistent,
but small differences exist due to the difference in grid.
Large differences were observed
only
in a small area
for one indicator.
There are also differences in data availability for some indicators,
likely due to masking.
Users of the Atlas dataset
– and thus users of the Atlas application –
should be aware that the indicator values retrieved for a specific location may differ slightly from a manual analysis of the origin dataset.

Fig. 7.2.2 Comparison between Atlas dataset and reproduction for multiple indicators in one month, across Europe, on the native grid of each dataset.#

Fig. 7.2.3 Comparison between overall distributions of indicator values in the Atlas dataset and its reproduction, across all spatial and temporal dimensions, on the native grid of each dataset.#
Reproducibility: Comparison on Atlas grid#
After regridding/interpolating, the indicator values reproduced from the origin dataset can be compared point-by-point to the values retrieved from the Atlas dataset. We first examine some metrics that describe the difference Δ between corresponding pixels:
Mean Δ | Median Δ | Median |Δ| | % where |Δ| ≥ ε | Median |Δ| [%] | % where |Δ| ≥ 0.1% | Pearson r | |
---|---|---|---|---|---|---|---|
t | 0.00000 | 0.00000 | 0.00028 | 98.08282 | nan | nan | 1.00000 |
tn | -0.00000 | 0.00000 | 0.00028 | 98.08783 | nan | nan | 1.00000 |
tx | -0.00000 | 0.00000 | 0.00028 | 98.10905 | nan | nan | 1.00000 |
dtr | 0.00000 | 0.00000 | 0.00033 | 98.39982 | 0.01457 | 6.62924 | 1.00000 |
tnn | -0.00000 | -0.00000 | 0.00116 | 99.52688 | nan | nan | 1.00000 |
txx | 0.00000 | 0.00000 | 0.00116 | 99.53447 | nan | nan | 1.00000 |
tx35 | -0.00095 | 0.00000 | 0.00000 | 0.09388 | 0.00000 | 0.09079 | 0.99998 |
tx40 | -0.00047 | 0.00000 | 0.00000 | 0.04720 | 0.00000 | 0.04398 | 0.99998 |
tr | -0.00216 | 0.00000 | 0.00000 | 12.46425 | 0.00000 | 1.12269 | 1.00000 |
fd | -0.10867 | 0.00000 | 0.00000 | 18.00463 | 0.00000 | 16.25874 | 0.99978 |
r | -0.00003 | -0.00003 | 0.00028 | 98.00682 | 0.01431 | 12.93596 | 1.00000 |
sdii | -0.00716 | -0.00007 | 0.00042 | 87.06713 | 0.00746 | 8.82253 | 0.99991 |
prsn | -0.00000 | -0.00000 | 0.00000 | 37.15265 | 0.00000 | 10.82870 | 1.00000 |
rx1day | -0.00000 | -0.00001 | 0.00116 | 99.49743 | 0.00997 | 10.05993 | 1.00000 |
r01 | 0.41235 | 0.39551 | 0.40234 | 86.51813 | 3.02010 | 85.46824 | 0.99926 |
r10 | 0.26182 | 0.04492 | 0.04590 | 52.45988 | 1.34875 | 52.32150 | 0.99599 |
r20 | 0.14342 | 0.00000 | 0.00000 | 29.29900 | 0.00000 | 29.26363 | 0.98461 |
pet | -0.04330 | -0.00001 | 0.00025 | 19.53099 | 0.00862 | 2.58153 | 0.98785 |
evspsbl | 0.00000 | 0.00000 | 0.00024 | 97.97724 | 0.00839 | 8.67323 | 1.00000 |
huss | 0.00013 | 0.00000 | 0.00027 | 98.09658 | 0.00311 | 11.36677 | 1.00000 |
psl | -0.00003 | 0.00000 | 0.00061 | 96.88182 | 0.00006 | 0.00000 | 1.00000 |
sfcwind | -0.00000 | -0.00000 | 0.00024 | 97.95782 | 0.00392 | 0.00000 | 1.00000 |
clt | 0.00000 | 0.00000 | 0.00024 | 97.81430 | 0.00037 | 0.05350 | 1.00000 |
rsds | 0.00000 | 0.00000 | 0.00023 | 92.04655 | 0.00013 | 1.08320 | 1.00000 |
rlds | 0.00000 | 0.00000 | 0.00024 | 97.09195 | 0.00007 | 0.00000 | 1.00000 |
As in the case study for tx35
,
it is clear that
the Atlas dataset and its manual reproduction
are very similar.
The median difference, median absolute difference, and median absolute percentage difference
are all close to 0 for
almost all indicators.
The percentage of pixels with a non-zero difference
(defined here as |Δ| ≥ ε with ε = \(10^{-5}\) to avoid floating-point errors)
is a less useful metric here since most of the indicators are
real numbers,
rather than integers like tx35
.
This leaves more room for small differences in the data to appear due to
small changes in the origin dataset and/or the Atlas workflow software,
which for an integer indicator like tx35
would tend to be rounded off.
For most indicators,
the relative difference between datasets is ≤0.1% for
the vast majority of point-by-point comparisons.
The distributions of indicator values and differences (Figure 7.2.4) confirm that the differences between the two datasets tend to be very small, with distributions centered around 0 and few outliers.
It is not clear why some indicators show larger differences.
For pet
, it is clear from the geospatial distribution
(Figure 7.2.5)
that the differences are concentrated in a specific region
(northern Fennoscandia),
as discussed before.
However, the same is not true for the daily precipitation indicators
r01
,
r10
,
and
r20
.
These particular indicators show high values and significant spread across Europe in June
(and presumably in other months)
meaning the differences may simply be due to interpolation.
This also explains why there are non-integer differences:
since the Atlas workflow calculates indicators and then interpolates,
the interpolated indicators can have non-integer values.
We can extend the conclusion from the tx35
case study,
namely that the Atlas dataset can be considered practically reproducible.
However,
some of the indicators show non-zero differences,
either
in specific locations
(e.g. pet
)
or
distributed randomly
(e.g. r01
).
The causes of these differences are unclear,
but they are small and rare enough to be negligible for most users using the Atlas dataset,
especially since they will typically use it through the application.
For further analysis,
it is generally best to manually process the origin dataset,
if only to remove the amount of steps that may affect the result.

Fig. 7.2.4 Comparison between overall distributions of indicator values in the Atlas dataset and its reproduction on the Atlas grid, across all spatial and temporal dimensions, including the per-pixel difference.#

Fig. 7.2.5 Comparison between Atlas dataset and reproduction for multiple indicators in one month, across Europe, on the Atlas dataset grid, including the per-pixel difference.#
ℹ️ If you want to know more#
Key resources#
The CDS catalogue entries for the data used were:
Gridded dataset underpinning the Copernicus Interactive Climate Atlas: multi-origin-c3s-atlas
CMIP6 climate projections: projections-cmip6
Code libraries used:
xclim climate indicator tools
More about the Copernicus Interactive Climate Atlas and its IPCC predecessor:
References#
To be replaced with numerical references once the text is finished
[Guti24] J. M. Gutiérrez et al., ‘The Copernicus Interactive Climate Atlas: a tool to explore regional climate change’, ECMWF Newsletter, vol. 181, pp. 38–45, Oct. 2024, doi: 10.21957/ah52ufc369.
[AtlasData] Copernicus Climate Change Service, ‘Gridded dataset underpinning the Copernicus Interactive Climate Atlas’. Copernicus Climate Change Service (C3S) Climate Data Store (CDS), Jun. 17, 2024. doi: 10.24381/cds.h35hb680.
[CMIP6data] Copernicus Climate Change Service, ‘CMIP6 climate projections’. Copernicus Climate Change Service (C3S) Climate Data Store (CDS), Mar. 23, 2021. doi: 10.24381/cds.c866074c.
[Bur20] O. Burggraaff, ‘Biases from incorrect reflectance convolution’, Optics Express, vol. 28, no. 9, pp. 13801–13816, Apr. 2020, doi: 10.1364/OE.391470.