
7.3. Consistency between the C3S Atlas dataset and its origins: Multiple origin datasets#
Production date: 2025-10-14.
Dataset version: 2.0.
Produced by: Olivier Burggraaff, Nicole Reynolds (National Physical Laboratory).
🌍 Use case: Retrieving climate indicators from the Copernicus Interactive Climate Atlas#
❓ Quality assessment question#
Are the climate indicators in the dataset underpinning the Copernicus Interactive Climate Atlas consistent with their origin datasets?
Can the dataset underpinning the Copernicus Interactive Climate Atlas be reproduced from its origin datasets?
The Copernicus Interactive Climate Atlas, or C3S Atlas for short, is a C3S web application providing an easy-to-access tool for exploring climate projections, reanalyses, and observational data [Gutiérrez+24]. Version 2.0 of the application allows the user to interact with 12 datasets:
Type |
Dataset |
|---|---|
Climate Projection |
CMIP6 |
Climate Projection |
CMIP5 |
Climate Projection |
CORDEX-CORE |
Climate Projection |
CORDEX-EUR-11 |
Reanalysis |
ERA5 |
Reanalysis |
ERA5-Land |
Reanalysis |
ORAS5 |
Reanalysis |
CERRA |
Observations |
E-OBS |
Observations |
BERKEARTH |
Observations |
CPC |
Observations |
SST-CCI |
These datasets are provided through an intermediary dataset, the Gridded dataset underpinning the Copernicus Interactive Climate Atlas or C3S Atlas dataset for short [C3S Atlas dataset]. Compared to their origins, the versions of the climate datasets within the C3S Atlas dataset have been processed following the workflow in Figure 7.3.1.
Fig. 7.3.1 Schematic representation of the workflow for the production of the C3S Atlas dataset from its origin datasets, from the User-tools for the C3S Atlas.#
Because a wide range of users interact with climate data through the C3S Atlas application, it is crucial that the underpinning dataset represent its origins correctly. In other words, the C3S Atlas dataset must be consistent with and reproducible from its origins. Here, we assess this consistency and reproducibility by comparing climate indicators retrieved from the C3S Atlas dataset with their equivalents calculated from the origin dataset, mirroring the workflow from Figure 7.3.1. While a full analysis and reproduction of every record within the C3S Atlas dataset is outside the scope of quality assessment (and would require high-performance computing infrastructure), a case study with a narrower scope probes these quality attributes of the dataset and can be a jumping-off point for further analysis by the reader.
This notebook is part of a series:
Notebook |
Contents |
|---|---|
Consistency between the C3S Atlas dataset and its origins: Case study |
Comparison between C3S Atlas dataset and one origin dataset (CMIP6) for one indicator ( |
Consistency between the C3S Atlas dataset and its origins: Multiple indicators |
Comparison between C3S Atlas dataset and one origin dataset (CMIP6) for multiple indicators. |
Consistency between the C3S Atlas dataset and its origins: Multiple origin datasets |
Comparison between C3S Atlas dataset and multiple origin datasets for one indicator. |
📢 Quality assessment statement#
These are the key outcomes of this assessment
Climate indicators (here 3 monthly indicators) provided by the C3S Atlas dataset are highly consistent with values calculated from its origin datasets (here 10 climate projection, observation, and reanalysis datasets).
There are some differences in coverage between the C3S Atlas dataset and its origins due to differences in the version used, e.g. E-OBS temperature indicators at the edges of Europe, but these do not affect the vast majority of use cases for the C3S Atlas.
Differences between the C3S Atlas dataset and a manual reproduction are rare and generally negligible (median absolute difference of 0 for
tx35andr01, ≤0.0003 °C for SST). Where differences occur, they can be explained by dataset versions or details of the workflow implementation.The C3S Atlas is traceable and reproducible, and can be confidently used to view, analyse, and download climate data.
For specific use cases, like scientific papers, it is recommended to manually process the origin dataset instead of using the C3S Atlas. This is not necessary for other use cases, such as climate risk assessments and climate reports, in which case the C3S Atlas can be used as is.
📋 Methodology#
This quality assessment tests the consistency between climate indicators retrieved from the Gridded dataset underpinning the Copernicus Interactive Climate Atlas [C3S Atlas dataset] and their equivalents calculated from the origin datasets, as well as the reproducibility of said dataset.
This notebook probes the consistency between the C3S Atlas dataset and multiple origin datasets at the same time. Due to differences in scope (e.g. atmosphere / land / sea), not every indicator is available in every origin dataset or its C3S Atlas derivative. Furthermore, some origin datasets are historical while others are future projections. For this reason, we will examine the following indicators in the following origin datasets:
Monthly count of days with maximum near-surface (2-metre) air temperature above 35 °C (tx35)
Type |
Dataset |
|---|---|
Climate Projection |
CMIP6 |
Climate Projection |
CMIP5 |
Climate Projection |
CORDEX-EUR-11 |
Reanalysis |
ERA5 |
Reanalysis |
ERA5-Land |
Observations |
E-OBS |
Observations |
BERKEARTH |
Note that CORDEX-CORE has been left out of this assessment because its mosaicking workflow is out of scope. CERRA has been left out because the C3S User-tools package is currently not fully compatible with this dataset.
Monthly mean temperature of sea water near the surface (sst)
Type |
Dataset |
|---|---|
Reanalysis |
ORAS5 |
Observations |
SST-CCI |
Monthly count of days with daily accumulated precipitation of liquid water equivalent from all phases above 1 mm (r01)
Type |
Dataset |
|---|---|
Observations |
CPC |
The analysis and results are organised in the following steps, which are detailed in the sections below:
Install User-tools for the C3S Atlas.
Import all required libraries.
Define indicators.
Define helper functions.
2. Calculate and retrieve indicators
Download data from the origin datasets.
Homogenise data.
Calculate indicators.
Regrid the origin data to the C3S Atlas grid.
Download corresponding data from the C3S Atlas dataset.
Consistency: Compare the C3S Atlas and reproduced datasets on native grids.
Reproducibility: Compare the C3S Atlas and reproduced datasets on the C3S Atlas grid.
📈 Analysis and results#
1. Code setup#
Note
This notebook uses earthkit for downloading (earthkit-data) and visualising (earthkit-plots) data. Because earthkit is in active development, some functionality may change after this notebook is published. If any part of the code stops functioning, please raise an issue on our GitHub repository so it can be fixed.
Install the User-tools for the C3S Atlas#
This notebook uses the User-tools for the C3S Atlas, which can be installed from GitHub using pip.
For convenience, the following cell can do this from within the notebook.
Further details and alternative options for installing this library are available in its documentation.
Import required libraries#
In this section, we import all the relevant packages needed for running the notebook.
Define indicators#
This section defines functions and variables for calculating and using the climate indicators.
The following cell includes a helper function (in the form of a decorator) to correctly propagate NaNs, which is important for datasets using land/sea masks:
The following cell contains functions for calculating the indicators described in the introduction:
The following cell defines earthkit-plots styles for the indicators. These styles define the colour maps and colour bar ranges for each quantity. Earthkit-plots styles are explained further in the corresponding documentation.
Helper functions#
This section defines some functions and variables used in the following analysis, allowing code cells in later sections to be shorter and ensuring consistency.
Data downloading & (pre-)processing#
The following functions help with downloading data from datasets with limits, by generating multiple CDS requests with similar parameters:
The following functions aid in sub-selecting data, e.g. selecting one model from the ensemble included in the C3S Atlas dataset or selecting data for a specific time frame:
The following functions handle data chunking in dask for computational efficiency:
The following functions handle the homogenisation of origin data to a consistent format using the User-tools for the C3S Atlas:
The following functions handle regridding data based on ESMF as implemented in the User-tools for the C3S Atlas. This step is explained in more detail in the relevant section below.
Statistics#
The following functions calculate the difference (absolute / relative) between datasets, handling metadata etc.:
The following functions calculate and display metrics for the difference between two datasets, e.g. mean and median deviation:
Visualisation#
The following cells contain functions for plotting results, starting with some base helper functions (e.g. displaying in Jupyter Notebook or Jupyter Book style, adding textboxes with consistent formatting, etc.):
The following functions are also base helper functions, but specific to geospatial plots:
The following cell contains functions for geospatial comparisons between datasets on their native grids or on a common grid (the latter also showing the per-pixel difference):
The following cell contains functions for histogram comparisons between datasets on their native grids or on a common grid (the latter also showing the per-pixel difference):
2. Calculate and retrieve indicators#
In the previous two notebooks in this assessment, the origin data were downloaded, pre-processed, used to calculate the relevant indicator(s), and regridded; after which the Atlas dataset was downloaded. This notebook follows the same structure but for each origin in turn, for clarity and to preserve memory when loading multiple datasets at the same time. As such, the individual steps are described in less detail, because this information is available in the previous notebooks.
If you are only interested in specific origin datasets, or want to limit your bandwidth or memory usage, you can choose to only run specific subsections below.
This assessment examines the dataset in one year (2080),
for one ensemble member
and
for one climate scenario
– which is not how climate projection data are normally used.
Good practice in climate science is to look at multi-year statistics and trends,
across multiple ensemble members.
However, since the purpose of this assessment is to assess the consistency and reproducibility of the post-processing performed to produce the C3S Atlas dataset,
it is valid to use a subset of the data here.
The specific subset used can be easily tweaked by changing the EXPERIMENT, MODEL, and YEARS variables in the relevant sections.
This notebook uses earthkit-data to download files from the CDS. If you intend to run this notebook multiple times, it is highly recommended that you enable caching to prevent having to download the same files multiple times. If you prefer not to use earthkit, the following requests can also be used with the cdsapi module. In either case (earthkit-data or cdsapi), it is required to set up a CDS account and API key as explained on the CDS website.
Note
This notebook uses xESMF for regridding data. xESMF is most easily installed using mamba/conda as explained in its documentation. Users who cannot or do not wish to use mamba/conda can manually compile and install ESMF on their machines. In future, this notebook will use earthkit-regrid instead, once it reaches suitable maturity.
Note that the C3S Atlas workflow calculates indicators first, then regrids. For operations that involve averaging, like smoothing and regridding, the order of operations can affect the result, especially in areas with steep gradients [Avila+15]. Examples of such areas for a temperature index are coastlines and mountain ranges. In the case of C3S Atlas, this order of operations was a conscious choice to preserve the “raw” signals, e.g. preventing extreme temperatures from being smoothed out. However, it can affect the indicator values and therefore must be considered when using the C3S Atlas application or dataset, particularly when intercomparing it with another dataset.
General setup#
Throughout this section, we combine the downloaded datasets into dictionaries for easy access. They cannot be combined into a single xarray object because of differing grids. Each dataset is added in its own subsection, meaning any datasets not downloaded will automatically be skipped in the analysis.
CMIP6#
CMIP5#
CORDEX-EUR-11#
ERA5#
Note that ERA5 data for a year are >30 GB in size. These data may take up to several hours to download and require sufficient storage to download and cache.
ERA5-Land#
Note that ERA5-Land data for a year are >200 GB in size. These data may take up to several hours to download and require sufficient storage to download and cache.
E-OBS#
Note that E-OBS data for the full period are >30 GB in size. These data may take up to several hours to download and require sufficient storage to download and cache.
BERKEARTH#
ORAS5#
SST-CCI#
Note that SST-CCI data for a year are >150 GB in size. These data may take up to several hours to download and require sufficient storage to download and cache.
CPC#
Cleanup#
Lastly, we manually clear out some memory-intensive objects that are no longer necessary.
We also re-chunk the datasets to be more computationally efficient:
3. Results#
This section contains the comparison between the indicator values retrieved from the C3S Atlas dataset vs those reproduced from the origin datasets.
The datasets are first compared on their native grids. This means a point-by-point comparison is not possible (because the points are not equivalent), but the distributions can be compared geospatially and overall. This qualitative comparison probes the consistency quality attribute: Are the climate indicators in the dataset underpinning the Copernicus Interactive Climate Atlas consistent with their origin datasets?
Second, the C3S Atlas dataset is compared to the indicators derived from the origin dataset and regridded to the C3S Atlas grid. This makes a quantitative point-by-point comparison possible. This second comparison probes how well the dataset underpinning the Copernicus Interactive Climate Atlas can be reproduced from its origin datasets, based on the workflow (Figure 7.3.1).
For the geospatial comparison,
we display the values of the indicators for one month,
across one region and globally.
As an example, we display the results across
Europe
in
June,
which should provide significant spatial variation.
This region can easily be modified in the following code cell using the domains provided by earthkit-plots.
Some examples are provided in the cell (commented out using #).
Consistency: Comparison on native grids#
As in the
previous
notebooks,
it is clear from the geospatial comparisons
(Figures 7.3.2–7.3.5)
that the C3S Atlas dataset closely resembles a manual reproduction from its origin datasets.
The general distribution of indicator values is the same for
all comparisons.
The
E-OBS tx35 (Figure 7.3.3)
comparison shows clear differences in terms of coverage,
which is explained by differences in versions used
(26.0e in the production of the C3S Atlas dataset, 30.0e here).
Additionally,
the CMIP5 comparison
(Figure 7.3.2)
shows clear differences here due to the fact that the C3S Atlas version of CMIP5 is regridded to a coarser resolution
to ensure consistency between the different model members of the ensemble.
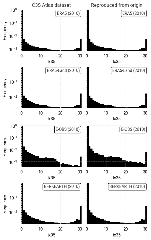
This pattern is also visible in the overall distributions (Figures 7.3.6–7.3.9), which are again very similar for almost all comparisons.
The overall conclusion from this comparison is the same as in the previous notebooks. The C3S Atlas dataset and its origins are highly consistent, but small differences exist due to the difference in grid and differences in the origin dataset version used and workflow. Large differences were observed only in the availability or masking of data in specific areas, such as on the edges of the E-OBS dataset. Users of the C3S Atlas dataset – and thus users of the C3S Atlas application – should be aware that the indicator values retrieved for a specific location may differ slightly from a manual analysis of the origin dataset.
Fig. 7.3.2 Comparison between C3S Atlas dataset and reproduction for
projected
tx35 in one month,
across Europe,
on the native grid of each dataset.#
Fig. 7.3.3 Comparison between C3S Atlas dataset and reproduction for
historical
tx35 in one month,
across Europe,
on the native grid of each dataset.#
Fig. 7.3.4 Comparison between C3S Atlas dataset and reproduction for
historical
sst in one month,
across Europe,
on the native grid of each dataset.#
Fig. 7.3.5 Comparison between C3S Atlas dataset and reproduction for
historical
r01 in one month,
across Europe,
on the native grid of each dataset.#
Fig. 7.3.6 Comparison between overall distributions of
projected
tx35
values in the C3S Atlas dataset and its reproduction,
across all spatial and temporal dimensions,
on the native grid of each dataset.#
Fig. 7.3.7 Comparison between overall distributions of
historical
tx35
values in the C3S Atlas dataset and its reproduction,
across all spatial and temporal dimensions,
on the native grid of each dataset.#
Fig. 7.3.8 Comparison between overall distributions of
historical
sst
values in the C3S Atlas dataset and its reproduction,
across all spatial and temporal dimensions,
on the native grid of each dataset.#
Fig. 7.3.9 Comparison between overall distributions of
historical
r01
values in the C3S Atlas dataset and its reproduction,
across all spatial and temporal dimensions,
on the native grid of each dataset.#
Reproducibility: Comparison on C3S Atlas grid#
After regridding to the C3S Atlas grid, the indicator values reproduced from the origin dataset can be compared point-by-point to the values retrieved from the C3S Atlas dataset. We first examine some metrics that describe the difference Δ between corresponding pixels:
| Mean Δ | Median Δ | Median |Δ| | % where |Δ| ≥ ε | Pearson r | |
|---|---|---|---|---|---|
| CMIP6 | -0.00095 | 0.00000 | 0.00000 | 0.09388 | 0.99998 |
| CMIP5 | 0.00000 | 0.00000 | 0.00000 | 10.20628 | 1.00000 |
| CORDEX-EUR-11 | -0.00065 | 0.00000 | 0.00000 | 4.20466 | 1.00000 |
| Mean Δ | Median Δ | Median |Δ| | % where |Δ| ≥ ε | Pearson r | |
|---|---|---|---|---|---|
| ERA5 | 0.00003 | 0.00000 | 0.00000 | 0.00311 | 1.00000 |
| ERA5-Land | -0.00002 | 0.00000 | 0.00000 | 0.00597 | 1.00000 |
| E-OBS | -0.11389 | 0.00000 | 0.00000 | 3.63519 | 0.91907 |
| BERKEARTH | 0.00000 | 0.00000 | 0.00000 | 0.00000 | 1.00000 |
| Mean Δ | Median Δ | Median |Δ| | % where |Δ| ≥ ε | Pearson r | |
|---|---|---|---|---|---|
| ORAS5 | 0.00000 | 0.00000 | 0.00024 | 65.47403 | 1.00000 |
| SST-CCI | 0.00003 | 0.00009 | 0.00020 | 65.15363 | 1.00000 |
| Mean Δ | Median Δ | Median |Δ| | % where |Δ| ≥ ε | Pearson r | |
|---|---|---|---|---|---|
| CPC | 0.00000 | 0.00000 | 0.00000 | 0.00000 | 1.00000 |
As in the previous notebooks, it is clear that the C3S Atlas dataset and its manual reproduction are very similar. The median difference, median absolute difference, and median absolute percentage difference are all close to 0 and the vast majority of pixels show a near-zero difference (defined here as |Δ| ≥ ε with ε = 10–5 to avoid floating-point errors) in all comparisons. E-OBS shows the most significant differences, likely explained by differences in the version used as in the previous section.
These observations are confirmed by
the overall distributions
(Figures 7.3.10–7.3.13)
and
the geospatial distributions
(Figures 7.3.14–7.3.17).
Notably,
while the difference between tx35 in the C3S Atlas dataset and E-OBS is typically small,
with a median of 0 and with ≤4% of pixels showing non-zero differences,
it has a long tail of large differences
(Figure 7.3.11).
These pixels are concentrated at the periphery of the domain
(Figures 7.3.15).
This is likely the result of a difference in
the underlying dataset version
(as before).
We can extend the conclusion from the
previous
notebooks,
namely that the C3S Atlas dataset can be considered practically reproducible.
Some indicators in the C3S Atlas dataset
are completely identical to
their origin datasets,
e.g. r01 in the CPC comparison;
others
show non-zero differences,
e.g. some of the pixels in the CMIP6 and E-OBS tx35 comparisons.
The causes of these differences are unclear,
but they are generally small and rare enough to be negligible for most users using the C3S Atlas dataset,
especially since they will typically use it through the application.
For further analysis,
it is generally best to manually process the origin dataset,
if only to remove the amount of steps that may affect the result.
Fig. 7.3.10 Comparison between overall distributions of
projected
tx35
values in the C3S Atlas dataset and its reproduction
on the C3S Atlas grid,
across all spatial and temporal dimensions,
including the per-pixel difference.#
Fig. 7.3.11 Comparison between overall distributions of
historical
tx35
values in the C3S Atlas dataset and its reproduction
on the C3S Atlas grid,
across all spatial and temporal dimensions,
including the per-pixel difference.#
Fig. 7.3.12 Comparison between overall distributions of
historical
sst
values in the C3S Atlas dataset and its reproduction
on the C3S Atlas grid,
across all spatial and temporal dimensions,
including the per-pixel difference.#
Fig. 7.3.13 Comparison between overall distributions of
historical
r01
values in the C3S Atlas dataset and its reproduction
on the C3S Atlas grid,
across all spatial and temporal dimensions,
including the per-pixel difference.#
Fig. 7.3.14 Comparison between C3S Atlas dataset and reproduction for
projected
tx35 in one month,
across Europe,
on the C3S Atlas dataset grid,
including the per-pixel difference.#
Fig. 7.3.15 Comparison between C3S Atlas dataset and reproduction for
historical
tx35 in one month,
across Europe,
on the C3S Atlas dataset grid,
including the per-pixel difference.#
Fig. 7.3.16 Comparison between C3S Atlas dataset and reproduction for
historical
sst in one month,
across Europe,
on the C3S Atlas dataset grid,
including the per-pixel difference.#
Fig. 7.3.17 Comparison between C3S Atlas dataset and reproduction for
historical
r01 in one month,
across Europe,
on the C3S Atlas dataset grid,
including the per-pixel difference.#
ℹ️ If you want to know more#
Key resources#
The CDS catalogue entries for the data used were:
Gridded dataset underpinning the Copernicus Interactive Climate Atlas: multi-origin-c3s-atlas
Consistency between the C3S Atlas dataset and its origins: Case study
Consistency between the C3S Atlas dataset and its origins: Multiple indicators
Consistency between the C3S Atlas dataset and its origins: Multiple origin datasets
CMIP6 climate projections: projections-cmip6
CMIP5 daily data on single levels: projections-cmip5-daily-single-levels
CORDEX regional climate model data on single levels: projections-cordex-domains-single-levels
ERA5 hourly data on single levels from 1940 to present: reanalysis-era5-single-levels
ERA5-Land hourly data from 1950 to present: reanalysis-era5-land
E-OBS daily gridded meteorological data for Europe from 1950 to present derived from in-situ observations: insitu-gridded-observations-europe
Temperature and precipitation gridded data for global and regional domains derived from in-situ and satellite observations (BERKEARTH, CPC) insitu-gridded-observations-global-and-regional
ORAS5 global ocean reanalysis monthly data from 1958 to present: reanalysis-oras5
Sea surface temperature daily data from 1981 to present derived from satellite observations (SST-CCI): satellite-sea-surface-temperature
Code libraries used:
xclim climate indicator tools
More about the Copernicus Interactive Climate Atlas and its IPCC predecessor:
References#
[Gutiérrez+24] J. M. Gutiérrez et al., ‘The Copernicus Interactive Climate Atlas: a tool to explore regional climate change’, ECMWF Newsletter, vol. 181, pp. 38–45, Oct. 2024, doi: 10.21957/ah52ufc369.
[C3S Atlas dataset] Copernicus Climate Change Service, ‘Gridded dataset underpinning the Copernicus Interactive Climate Atlas’. Copernicus Climate Change Service (C3S) Climate Data Store (CDS), Jun. 17, 2024. doi: 10.24381/cds.h35hb680.
[CMIP6 dataset] Copernicus Climate Change Service, ‘CMIP6 climate projections’. Copernicus Climate Change Service (C3S) Climate Data Store (CDS), Mar. 23, 2021. doi: 10.24381/cds.c866074c.
[Avila+15] F. B. Avila et al., ‘Systematic investigation of gridding-related scaling effects on annual statistics of daily temperature and precipitation maxima: A case study for south-east Australia’, Weather and Climate Extremes, vol. 9, pp. 6–16, Aug. 2015, doi: 10.1016/j.wace.2015.06.003.